A+ English xin giới thiệu đến các bạn bài mẫu IELTS Writing Task 1 band 6.0 với một chủ đề cực kỳ thú vị và hữu ích – phân tích biểu đồ cột kết hợp (chart type). Bài viết sẽ cung cấp cho bạn những từ vựng và cấu trúc đặc sắc, giúp bạn tự tin chinh phục dạng biểu đồ này trong kỳ thi IELTS. Hãy cùng tìm hiểu nhé.
Nội dung chính
1. Đề bài Ielts Writing Task 1 (Assignment)
You should spend about 20 minutes on this task.
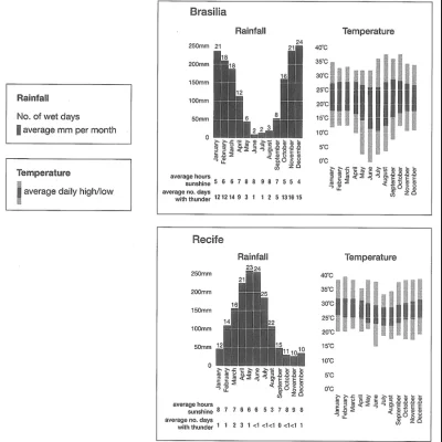
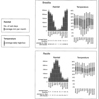
The charts below give information about weather in two Brazilian cities.
Summarise the information by selecting and reporting the main features, and make comparisons where relevant.
Write at least 150 words.

Source: IELTS TRAINERS 1 TEST 6
1.1 Phân tích đề (Analyze the topic)
- Dạng biểu đồ (Chart type): Biểu đồ cột kết hợp: Biểu đồ cột thể hiện lượng mưa và số ngày mưa mỗi tháng, cùng với biểu đồ cột kép thể hiện nhiệt độ cao/thấp hàng ngày. Có hai biểu đồ phụ: một bên trái thể hiện giờ nắng trung bình, số ngày có sấm, và bên phải là nhiệt độ trung bình cao/thấp mỗi tháng.
- Chủ đề: Thời tiết theo mùa tại thành phố Brasilia, Brazil.
- Địa điểm: Thành phố Brasilia, Brazil.
- Thời gian:Trong 1 năm (theo tháng, từ tháng 1 đến tháng 12).
- Đối tượng đối chiếu/so sánh: So sánh mùa mưa và mùa khô, cũng như sự thay đổi nhiệt độ và lượng nắng trong năm.
1.2 Lập dàn ý (Outline)
1. Introduction:
- Giới thiệu lại đề bài một cách diễn đạt lại (paraphrase):
- Nêu rõ biểu đồ mô tả điều kiện thời tiết tại một thành phố của Brazil – Brasilia.
- Biểu đồ thể hiện lượng mưa, số ngày mưa, nhiệt độ, giờ nắng và số ngày có sấm.
- Overview:
- Nêu những điểm nổi bật, khái quát:
- Có 2 mùa rõ rệt: mùa khô và mùa mưa.
- Nhiệt độ ổn định, không có biến động lớn.
- Lượng mưa tập trung vào nửa cuối và đầu năm, giảm mạnh giữa năm.
- Body Paragraph 1:
- Nêu chi tiết các tháng có lượng mưa cao nhất (Dec, Jan: ~240mm, ~18 wet days).
- Tháng khô nhất (Jun, Jul: ~10mm, ~2 wet days).
- Nhấn mạnh mùa mưa kéo dài từ khoảng Oct đến March.
4. Body Paragraph 2:
- Nhiệt độ từ 12°C đến 30°C quanh năm – khá ổn định.
- Hottest months: Sept, Oct (~28°C).
- Coldest months: Jun, Jul (~12°C low).
- Số giờ nắng cao nhất vào tháng 7 (~10 giờ).
- Số ngày có sấm phổ biến vào mùa mưa.
5. Conclusion:
- Tóm tắt lại đặc điểm nổi bật: Sự đối lập rõ ràng giữa mùa mưa và mùa khô. Nhiệt độ ổn định là điểm đặc trưng của Brasilia.
02 Bài Mẫu (Sample Essay) Band 6.0+
| The charts show weather data for Brasilia, one of the cities in Brazil. They display information on rainfall and temperature throughout the year, including the number of wet days, rainfall in millimeters, daily temperature highs and lows, and other weather patterns like sunshine and thunder.
Overall, Brasilia experiences two distinct weather seasons: a dry season from May to August and a wet season from November to March. Rainfall is highest in December and January, while the driest months are June and July. The temperature remains fairly steady throughout the year with only slight variations. In terms of rainfall, the city gets the most precipitation between October and March, with January receiving the highest average rainfall of about 240mm and around 18 wet days. In contrast, June and July are the driest months with just 2-3 wet days and around 10mm of rain. Temperature in Brasilia ranges from about 12°C to 30°C throughout the year. The hottest months are September and October with daily highs reaching around 28°C, while June and July are slightly cooler. There is also a consistent amount of sunshine, with July getting the most sunlight at nearly 10 hours a day. In conclusion, Brasilia’s weather is marked by a strong contrast between wet and dry seasons, while its temperature remains quite stable across the months. |
| Các biểu đồ cho thấy dữ liệu thời tiết của Brasília, một trong những thành phố của Brazil. Chúng thể hiện thông tin về lượng mưa và nhiệt độ trong suốt cả năm, bao gồm số ngày có mưa, lượng mưa tính bằng milimét, nhiệt độ cao nhất và thấp nhất trong ngày, cũng như các yếu tố thời tiết khác như số giờ nắng và số ngày có sấm.
Nhìn chung, Brasília có hai mùa thời tiết rõ rệt: mùa khô từ tháng 5 đến tháng 8 và mùa mưa từ tháng 11 đến tháng 3. Lượng mưa cao nhất vào tháng 12 và tháng 1, trong khi các tháng khô nhất là tháng 6 và tháng 7. Nhiệt độ trong năm tương đối ổn định, chỉ dao động nhẹ. Về lượng mưa, thành phố nhận được nhiều mưa nhất từ tháng 10 đến tháng 3, với tháng 1 có lượng mưa trung bình cao nhất khoảng 240mm và khoảng 18 ngày mưa. Ngược lại, tháng 6 và tháng 7 là những tháng khô nhất, chỉ có khoảng 2–3 ngày mưa và khoảng 10mm lượng mưa. Nhiệt độ ở Brasília dao động từ khoảng 12°C đến 30°C trong suốt cả năm. Các tháng nóng nhất là tháng 9 và tháng 10 với nhiệt độ cao hàng ngày lên tới khoảng 28°C, trong khi tháng 6 và tháng 7 mát hơn một chút. Số giờ nắng khá ổn định, với tháng 7 có nhiều nắng nhất, gần 10 giờ mỗi ngày. Kết luận, thời tiết ở Brasília được đặc trưng bởi sự đối lập rõ rệt giữa mùa mưa và mùa khô, trong khi nhiệt độ lại duy trì khá ổn định qua các tháng. |
03 Từ vựng (Vocabulary)
1. contrast /ˈkɒn.trɑːst/
- CEFR: B2
- Từ loại: danh từ / động từ
- Nghĩa tiếng Việt: sự tương phản / tương phản
- Collocations:
- in contrast to – trái ngược với
- stark contrast – sự tương phản rõ rệt
- Câu ví dụ: There is a strong contrast between the wet and dry seasons in Brasilia.
- Dịch: Có sự tương phản rõ rệt giữa mùa mưa và mùa khô ở Brasilia.
2. distinct /dɪˈstɪŋkt/
- CEFR: B2
- Từ loại: tính từ
- Nghĩa tiếng Việt: riêng biệt, rõ ràng
- Collocations:
- distinct season – mùa rõ rệt
- distinct difference – sự khác biệt rõ rệt
- Câu ví dụ: Brasilia experiences two distinct weather seasons.
- Dịch: Brasilia có hai mùa thời tiết riêng biệt.
3. precipitation /prɪˌsɪp.ɪˈteɪ.ʃən/
- CEFR: B2
- Từ loại: danh từ (không đếm được)
- Nghĩa tiếng Việt: lượng mưa
- Collocations:
- heavy precipitation – lượng mưa lớn
- monthly precipitation – lượng mưa hàng tháng
- Câu ví dụ: The city gets the most precipitation between October and March.
- Dịch: Thành phố có lượng mưa lớn nhất từ tháng Mười đến tháng Ba.
4. steady /ˈsted.i/
- CEFR: B2
- Từ loại: tính từ
- Nghĩa tiếng Việt: ổn định, đều đặn
- Collocations:
- remain steady – giữ ổn định
- steady trend – xu hướng ổn định
- Câu ví dụ: Temperature remains fairly steady throughout the year.
- Dịch: Nhiệt độ giữ khá ổn định trong suốt cả năm.
5. range /reɪndʒ/
- CEFR: B2
- Từ loại: danh từ
- Nghĩa tiếng Việt: phạm vi, khoảng
- Collocations:
- temperature range – phạm vi nhiệt độ
- wide range – phạm vi rộng
- Câu ví dụ: Temperature in Brasilia ranges from about 12°C to 30°C.
- Dịch: Nhiệt độ ở Brasilia dao động từ khoảng 12°C đến 30°C.
6. throughout /θruːˈaʊt/
- CEFR: B2
- Từ loại: giới từ / trạng từ
- Nghĩa tiếng Việt: suốt, xuyên suốt
- Collocations:
- throughout the year – suốt cả năm
- throughout the country – trên khắp cả nước
- Câu ví dụ: The temperature remains fairly steady throughout the year.
- Dịch: Nhiệt độ duy trì khá ổn định trong suốt cả năm.
7. consistent /kənˈsɪs.tənt/
- CEFR: B2
- Từ loại: tính từ
- Nghĩa tiếng Việt: nhất quán, ổn định
- Collocations:
- consistent pattern – mẫu hình nhất quán
- consistent level – mức độ ổn định
- Câu ví dụ: The temperature shows a consistent pattern across all months.
- Dịch: Nhiệt độ thể hiện một mẫu hình ổn định trong suốt các tháng
04 Ngữ pháp (Grammar)
1. Present simple with time phrases
- Công thức chung: S + V(s/es) + time phrase (e.g., every month, throughout the year)
- Nghĩa tiếng Việt: Thì hiện tại đơn với cụm từ chỉ thời gian – để nói về hành động lặp lại hoặc sự thật hiển nhiên.
- Bối cảnh sử dụng: Dùng để mô tả đặc điểm khí hậu/thời tiết lặp lại hàng năm.
- Câu ví dụ: The temperature remains fairly steady throughout the year.
- Dịch: Nhiệt độ duy trì khá ổn định suốt cả năm.
2. Comparative structures with “more … than” / “-er than”
- Công thức chung: adj-er + than / more + adj + than
- Nghĩa tiếng Việt: So sánh hơn – dùng để so sánh 2 đối tượng hoặc thời điểm.
- Bối cảnh sử dụng: So sánh nhiệt độ hoặc lượng mưa giữa các tháng.
- Câu ví dụ: January is wetter than July.
- Dịch: Tháng Một ẩm ướt hơn tháng Bảy.
3. Range structures with “from… to…”
- Công thức chung: from + A + to + B
- Nghĩa tiếng Việt: Dùng để nói về phạm vi, khoảng cách giữa hai mốc.
- Bối cảnh sử dụng: Mô tả nhiệt độ dao động hoặc lượng mưa.
- Câu ví dụ: Temperature ranges from 12°C to 30°C.
- Dịch: Nhiệt độ dao động từ 12°C đến 30°C.
4. Passive voice (present simple)
- Công thức chung: S + is/are + V3/ed
- Nghĩa tiếng Việt: Câu bị động – nhấn mạnh hành động xảy ra, không cần nêu rõ chủ thể.
- Bối cảnh sử dụng: Diễn đạt lượng mưa hoặc thông tin không xác định người thực hiện.
- Câu ví dụ: The most rain is received in January.
- Dịch: Lượng mưa lớn nhất được ghi nhận vào tháng Một.
5. Adverbs of frequency (always, usually, often, etc.)
- Công thức chung: S + always/often/etc. + V(s/es)
- Nghĩa tiếng Việt: Trạng từ chỉ tần suất – nói về mức độ thường xuyên.
- Bối cảnh sử dụng: Mô tả hiện tượng thời tiết lặp lại.
- Câu ví dụ: Brasilia usually has thunderstorms during the wet season.
- Dịch: Brasilia thường có sấm trong mùa mưa.
05 Bài luyện tập (Practice Exercise)
Bài tập dịch từ tiếng Việt qua tiếng Anh:
Bài tập viết lại câu:
|
KEYBài tập dịch từ tiếng Việt qua tiếng Anh:
Bài tập viết lại câu:
|
Sau khi hoàn thành bài IELTS Writing Task 1 band 6.0 về Biểu đồ kết hợp (Chart Type), A+ English hy vọng các bạn không chỉ hiểu rõ cách xử lý dạng bài Biểu đồ kết hợp (Chart Type) mà còn thu thập được những từ vựng và cấu trúc hấp dẫn để miêu tả những biểu đồ tương tự. Nếu có thời gian, đừng quên làm bài tập và thử viết một bài khác nữa nhé, vì ‘Thực hành là chìa khóa đến thành công’ mà!
Xem thêm bài mẫu IELTS Writing Task 1 band 6.0 – Sơ đồ (diagram)
Chúc các bạn học tập hiệu quả!






